dsts
Membre Junior 😐
- Inscrit
- 1/12/19
- messages
- 803
- Marque
- Porsche
- Modèle
- Boxster
- Date
- 31/1/17
- Cylindrée
- 2.5
- Km
- 87200
- Type
- Essence
- Code moteur
- 9620
- VIN
- WP0CA298ZXS604858
- VCDS
- Non
Bonjour,
Les drones de livraison utiliseront 10 fois plus d'énergie que les camionnettes en ville
Voir l'article complet:
Extrait/condensé: (source: article original de l' Université Martin Luther de Halle-Wittenberg)
Lors de la livraison de colis, les drones ont souvent un bilan énergétique moins bon que les camionnettes de livraison traditionnelles, comme le montre une nouvelle étude menée à l'Université Martin Luther de Halle-Wittenberg. Dans les zones densément peuplées, les drones consomment des quantités d'énergie relativement élevées et leur portée est fortement influencée par les conditions de vent. Dans les zones rurales, cependant, ils peuvent être en mesure de concurrencer les camionnettes de livraison diesel. L'étude a été publiée dans la revue "Transportation Research Part D: Transport and Environment".
Dès qu'il y a eu des drones, il y a eu des visions de livraisons par drones. Des insectes robotiques apportant des colis et des pizzas à votre porte avant ou arrière en un tournemain, n'attendant pas aux feux de circulation et voyageant à vol d'oiseau. Mais alors que les régulateurs de l'aviation du monde entier travaillent avec
Les drones multicoptères sont une merveilleuse technologie, mais en tant qu'avions, ils sont très inefficaces. Faute d'ailes, qui peuvent développer une portance en avançant dans l'air, les drones doivent constamment fournir une poussée vers le haut juste pour rester en l'air. Ajoutez le poids de votre livraison de gros burrito et ils doivent pousser encore plus fort, et la consommation d'énergie augmente considérablement lorsqu'ils doivent voler par vent de face ou vent de travers. Sans oublier qu'ils ne peuvent transporter qu'un seul colis à la fois, ce qui fait de chaque voyage un aller-retour qui lui est propre.
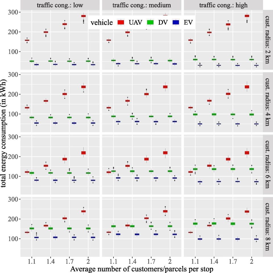
Les chercheurs de l'université ont effectué des calculs sur les livraisons urbaines et rurales, comparant les drones aux fourgons diesel et électriques, et ont fait des découvertes surprenantes. Sur la base de simulations effectuées sur Berlin et les environs, les chercheurs ont constaté que dans les zones urbaines denses, les fourgons électriques sont de loin l'option de livraison la plus économe en énergie. Les camionnettes diesel consomment environ cinq fois plus d'énergie dans cette situation, et les drones en utilisent environ 10 fois plus.
La densité de population est le facteur clef ici; les fourgonnettes peuvent transporter littéralement des centaines d'articles à la fois, et lorsque les itinéraires de livraison sont courts et remplis de nombreux dépôts, une énergie minimale est gaspillée. Les chiffres ci-dessus supposent que les fourgons transportent chacun 100 colis et que tous les colis pèsent 2,5 kg (5,5 lb), entre autres.
Fait intéressant, une fois que vous vous déplacez dans des zones rurales clairsemées, les drones commencent à égaliser les choses. Avec beaucoup plus de chemin à parcourir entre les arrêts, les fourgons perdent la plupart de leurs avantages énergétiques. Lorsque les clients se trouvent à 8 km du centre de livraison et que les conditions de vent sont idéales, les drones deviennent plus efficaces que les camionnettes diesel pour les livraisons individuelles.
Naturellement, la consommation d'énergie n'est pas la seule chose à considérer; il y a le coût du personnel, le fait que la production d'électricité crée moins de pollution que les automobiles diesel, les taux de rémunération des conducteurs, la maintenance, les temps d'arrêt pour le chargement de la batterie et de nombreux autres facteurs. Mais sur une analyse purement environnementale, il semble que les fourgons électriques soient de loin la meilleure solution pour transporter beaucoup de choses dans de nombreux endroits serrés, efficacement et rapidement.
Bonne journée etbonne route! bon confinement!
Les drones de livraison utiliseront 10 fois plus d'énergie que les camionnettes en ville
Voir l'article complet:
You do not have permission to view link please Connexion or S'inscrire
Extrait/condensé: (source: article original de l' Université Martin Luther de Halle-Wittenberg)

Lors de la livraison de colis, les drones ont souvent un bilan énergétique moins bon que les camionnettes de livraison traditionnelles, comme le montre une nouvelle étude menée à l'Université Martin Luther de Halle-Wittenberg. Dans les zones densément peuplées, les drones consomment des quantités d'énergie relativement élevées et leur portée est fortement influencée par les conditions de vent. Dans les zones rurales, cependant, ils peuvent être en mesure de concurrencer les camionnettes de livraison diesel. L'étude a été publiée dans la revue "Transportation Research Part D: Transport and Environment".

Dès qu'il y a eu des drones, il y a eu des visions de livraisons par drones. Des insectes robotiques apportant des colis et des pizzas à votre porte avant ou arrière en un tournemain, n'attendant pas aux feux de circulation et voyageant à vol d'oiseau. Mais alors que les régulateurs de l'aviation du monde entier travaillent avec
You do not have permission to view link please Connexion or S'inscrire
,
You do not have permission to view link please Connexion or S'inscrire
et
You do not have permission to view link please Connexion or S'inscrire
pour ouvrir une voie légale pour ce type de services, une nouvelle étude en Allemagne (réalisée par l'Université Martin Luther de Halle-Wittenberg) souligne que le coût énergétique élevé des drones volants pourrait aggraver l'environnement par rapport aux camionnettes.Les drones multicoptères sont une merveilleuse technologie, mais en tant qu'avions, ils sont très inefficaces. Faute d'ailes, qui peuvent développer une portance en avançant dans l'air, les drones doivent constamment fournir une poussée vers le haut juste pour rester en l'air. Ajoutez le poids de votre livraison de gros burrito et ils doivent pousser encore plus fort, et la consommation d'énergie augmente considérablement lorsqu'ils doivent voler par vent de face ou vent de travers. Sans oublier qu'ils ne peuvent transporter qu'un seul colis à la fois, ce qui fait de chaque voyage un aller-retour qui lui est propre.

Les chercheurs de l'université ont effectué des calculs sur les livraisons urbaines et rurales, comparant les drones aux fourgons diesel et électriques, et ont fait des découvertes surprenantes. Sur la base de simulations effectuées sur Berlin et les environs, les chercheurs ont constaté que dans les zones urbaines denses, les fourgons électriques sont de loin l'option de livraison la plus économe en énergie. Les camionnettes diesel consomment environ cinq fois plus d'énergie dans cette situation, et les drones en utilisent environ 10 fois plus.
La densité de population est le facteur clef ici; les fourgonnettes peuvent transporter littéralement des centaines d'articles à la fois, et lorsque les itinéraires de livraison sont courts et remplis de nombreux dépôts, une énergie minimale est gaspillée. Les chiffres ci-dessus supposent que les fourgons transportent chacun 100 colis et que tous les colis pèsent 2,5 kg (5,5 lb), entre autres.

Fait intéressant, une fois que vous vous déplacez dans des zones rurales clairsemées, les drones commencent à égaliser les choses. Avec beaucoup plus de chemin à parcourir entre les arrêts, les fourgons perdent la plupart de leurs avantages énergétiques. Lorsque les clients se trouvent à 8 km du centre de livraison et que les conditions de vent sont idéales, les drones deviennent plus efficaces que les camionnettes diesel pour les livraisons individuelles.
Naturellement, la consommation d'énergie n'est pas la seule chose à considérer; il y a le coût du personnel, le fait que la production d'électricité crée moins de pollution que les automobiles diesel, les taux de rémunération des conducteurs, la maintenance, les temps d'arrêt pour le chargement de la batterie et de nombreux autres facteurs. Mais sur une analyse purement environnementale, il semble que les fourgons électriques soient de loin la meilleure solution pour transporter beaucoup de choses dans de nombreux endroits serrés, efficacement et rapidement.
Bonne journée et